W0037降交点地方时
一、降交点地方时是什么含义?
降交点地方时(Local Time of Descending Node, LTDN),是指卫星轨道降交点(从北向南穿过赤道的那一点)的当地平太阳时。
- 降交点:卫星从北半球向南半球穿越赤道的位置。
- 地方时:以太阳在当地天空中的位置为基准的时间,而非统一的世界时或北京时间。
- 例如:LTDN = 10:30,表示卫星每次从北向南穿过赤道时,该赤道点的当地时间都是上午 10:30 左右。
二、它的核心作用是什么?
在太阳同步轨道(SSO)中,LTDN 是一个关键的任务设计参数,而非纯几何轨道参数,主要作用是:
- 固定光照条件太阳同步轨道的本质是让轨道平面随地球绕日公转同步进动,从而保持轨道平面与太阳方向的夹角恒定。固定 LTDN,就等于固定了卫星每次经过赤道时的太阳高度角和光照方向,进而保证:
- 全球成像时,光照条件(阴影、亮度)高度一致,便于图像对比和判读;
- 对光学、SAR 等载荷,可获得稳定的成像几何条件。
- 优化任务场景
- 上午 / 下午过境(如 09:00–15:00):适合光学遥感,避免正午强光反射和早晚长阴影;
- 特定时间过境:如应急监测、农业估产、灾害评估,可根据需求选择最佳光照窗口。
三、为什么它不在 “轨道六根数” 里?
标准的轨道六根数(半长轴 a、偏心率 e、轨道倾角 i、升交点赤经 Ω、近地点幅角 ω、真近点角 ν)是一组纯几何参数,用于唯一确定卫星在惯性空间中的轨道位置和形状,不包含与太阳、地球自转相关的时间信息。
而降交点地方时(LTDN) 是一个派生参数,它由以下因素共同决定:
- 轨道倾角 i(太阳同步轨道倾角接近 98°)
- 升交点赤经 Ω 的进动速率
- 地球自转与太阳的相对位置
换句话说:
- 六根数描述的是 “轨道在太空中的几何形状”;
- LTDN 描述的是 “这条轨道与太阳光照的时间关系”,是任务层面的设计指标,而非轨道力学的基础参数。
四、如何保证每次降交点地方时一致
要理解太阳同步轨道(SSO)如何保持降交点地方时(LTDN)一致,核心在于:它不是靠 “卫星转得快”,而是靠轨道平面缓慢 “跟着太阳转”,抵消地球自转的影响。
1. 先拆解矛盾:为什么会不一致?
- 地球自转:每 24 小时自转一圈,赤道上的点以约 1670 km/h 的速度向东移动。
- 卫星绕地:约 90 分钟一圈,角速度远大于地球自转。
- 如果轨道平面在惯性空间中固定不动,卫星每次经过赤道时,对应的地面点已经向东移动了,地方时自然会不断变化。
2. 太阳同步轨道的 “魔法”:轨道平面进动
太阳同步轨道的关键,是利用地球引力场的非球形(赤道隆起)产生的轨道平面进动,让轨道平面以约 1°/ 天的速度缓慢向东转动,这个速率恰好等于地球绕太阳公转的平均角速度(360°/365 天 ≈ 0.986°/ 天)。
这样一来:
- 轨道平面相对于太阳的方向保持恒定;
- 卫星每次从北向南穿过赤道时,太阳在当地天空中的位置(即地方时)就固定不变。
3. 直观的过程解释
我们以 LTDN=10:30 为例:
- 初始时刻:卫星在赤道上空的 A 点,此时 A 点的地方时是 10:30。
- 90 分钟后:
- 卫星绕地球一圈,再次到达赤道。
- 但地球自转了约 22.5°,原来的 A 点已经向东移动,卫星现在经过的是 B 点。
- 如果轨道平面不动,B 点的地方时会是 10:30 + 90 分钟 = 12:00。
- 轨道平面进动的作用:
- 在这 90 分钟里,轨道平面也向东缓慢转动了约 0.25°(1°/ 天 × 1.5 小时 / 24 小时)。
- 这个微小的转动,刚好抵消了地球自转带来的时间偏移,使得卫星经过 B 点时,B 点的地方时仍然是 10:30。
4. 为什么能做到?
这是通过精确设计轨道倾角实现的。对于 561 km 的轨道高度,通过计算可以得到一个特定的倾角(约 98°),使得轨道平面的进动速率正好等于地球公转的角速度,从而锁定 LTDN。
一句话总结
太阳同步轨道卫星不是 “每次都在同一个地球时间点经过赤道”,而是通过轨道平面缓慢进动,让每次经过赤道时,那个地面点的太阳光照条件(地方时)保持一致,从而实现了 LTDN 的恒定。
五、降交点地方时&轨道六根数
轨道六根数本身并不能直接决定降交点地方时(LTDN),但它们是计算 LTDN 的核心基础。
1. 为什么六根数不能直接决定 LTDN?
- 六根数是惯性空间参数:半长轴 a、偏心率 e、倾角 i、升交点赤经 Ω、近地点幅角 ω、真近点角 ν,描述的是轨道在惯性坐标系(如 J2000)中的几何形状和位置,不包含与太阳、地球自转相关的时间信息。
- LTDN 是地球 – 太阳相对时间参数:它是卫星降交点处的地方平太阳时,本质上是轨道平面与太阳方向的相对关系,需要结合地球自转、太阳赤经等时间信息才能确定。
2. 六根数与 LTDN 的关系
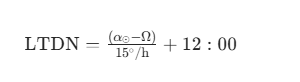
LTDN 的计算公式可以简化为:

其中:
- α⊙:太阳赤经(随日期变化,由天文历表给出)
- Ω:升交点赤经(六根数之一)
- 15∘/h:地球自转角速度
可以看到:
- 六根数中的升交点赤经 Ω 是计算 LTDN 的关键项;
- 倾角 i 决定了轨道平面的进动速率,从而决定了 LTDN 是否能保持恒定(太阳同步轨道);
- 其他根数(a,e,ω,ν)不直接影响 LTDN 的数值,但影响轨道的其他特性。
3. 更准确的理解方式
- 六根数决定了轨道的几何形状和在惯性空间的方位(包括升交点赤经 Ω)。
- LTDN 是由轨道方位(Ω)与太阳赤经(α⊙)的相对关系决定的,是一个随日期变化的派生参数。
- 在太阳同步轨道中,通过精确设计倾角 i,使轨道平面进动速率等于地球公转速率,从而让 Ω 与 α⊙ 的差值保持恒定,最终实现 LTDN 的稳定。
4. 一句话总结
- 六根数是 “地基”,提供了轨道的几何信息;
- LTDN 是 “上层建筑”,需要结合太阳和地球自转的时间信息才能确定;
- 只有在太阳同步轨道的设计中,六根数(特别是倾角 i)才被用来 “锁定” LTDN,使其保持恒定。
六、降交点地方时计算例子





